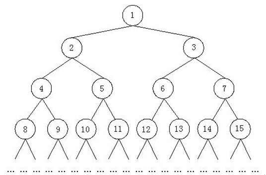
如上所示,由正整数1,2,3……组成了一颗特殊二叉树。我们已知这个二叉树的最后一个结点是n。现在的问题是,结点m所在的子树中一共包括多少个结点。
比如,n = 12,m = 3那么上图中的结点13,14,15以及后面的结点都是不存在的,结点m所在子树中包括的结点有3,6,7,12,因此结点m的所在子树中共有4个结点。
| Time Limit | $1$ 秒/Second(s) | Memory Limit | $512$ 兆字节/Megabyte(s) |
| 提交总数 | $7$ | 正确数量 | $3$ | "
| 裁判形式 | 标准裁判/Standard Judge | 我的状态 | 尚未尝试 |
| 难度 | 分类标签 |
如上所示,由正整数1,2,3……组成了一颗特殊二叉树。我们已知这个二叉树的最后一个结点是n。现在的问题是,结点m所在的子树中一共包括多少个结点。
比如,n = 12,m = 3那么上图中的结点13,14,15以及后面的结点都是不存在的,结点m所在子树中包括的结点有3,6,7,12,因此结点m的所在子树中共有4个结点。
输入数据包括多行,每行给出一组测试数据,包括两个整数m,n (1 <= m <= n <= 1000000000)。最后一组测试数据中包括两个0,表示输入的结束,这组数据不用处理。
对于每一组测试数据,输出一行,该行包含一个整数,给出结点m所在子树中包括的结点的数目。
3 7
142 6574
2 754
0 0
3
63
498
| 本题记录 | 用 户(点击查看用户) | 运行号(点击购买题解) | 时 间 |
|---|---|---|---|
| 算法最快[$0 $ms] | 计爱玲 | 154866 | 2017-11-18 00:13:09 |
| 内存最少[$944 $KB] | 范晋豪@信息与计算科学142 | 152815 | 2017-11-16 15:10:18 |
| 第一AC | 范晋豪@信息与计算科学142 | 152814 | 2017-11-16 15:10:18 |
| 第一挑战 | 范晋豪@信息与计算科学142 | 152814 | 2017-11-16 15:10:18 |
| 竞赛编号 | 竞赛名称 | 竞赛时间 | 访问比赛 |
|---|