Problem 2221 --例题2-4 简单公式计算2221: 例题2-4 简单公式计算
| Time Limit |
$1$ 秒/Second(s) |
Memory Limit |
$512$ 兆字节/Megabyte(s) |
| 提交总数 |
$217$ |
正确数量 |
$173$ |
"
| 裁判形式 |
标准裁判/Standard Judge |
我的状态 |
尚未尝试 |
| 难度 |
|
分类标签 |
|
当前分类(单击移除):
单击选择分类:
计算
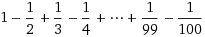
输出题目描述中表达式的值,使用C语言默认舍入方式保留8位小数。请注意行尾输出换行。
| 本题记录 |
用 户(点击查看用户) |
运行号(点击购买题解) |
时 间 |
| 算法最快[$0 $ms]
|
Ryan.
|
944030
|
2023-03-04 16:27:42 |
| 内存最少[$0 $KB]
|
Ryan.
|
944030 |
2023-03-04 16:27:42 |
| 第一AC |
范晋豪@信息与计算科学142 |
153032
|
2017-11-16 15:12:36 |
| 第一挑战 |
范晋豪@信息与计算科学142
|
153032 |
2017-11-16 15:12:36 |
| 竞赛编号 |
竞赛名称 |
竞赛时间 |
访问比赛 |
| 1316 |
C++重修练习赛2 |
2019-04-11 11:00:00 |
请登录
|
| 1312 |
C/C++程序设计||补缺班 第二次练习 |
2019-03-25 19:00:00 |
请登录
|