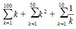
求如下式子的和

请将结果定义为double类型。
注意求平方,不要用C数学库中提供的函数pow。
Time Limit | $1$ 秒/Second(s) | Memory Limit | $512$ 兆字节/Megabyte(s) |
提交总数 | $275$ | 正确数量 | $174$ | "
裁判形式 | 标准裁判/Standard Judge | 我的状态 | 尚未尝试 |
难度 | 分类标签 | 循环 |
求如下式子的和
请将结果定义为double类型。
注意求平方,不要用C数学库中提供的函数pow。
无
47977.928968
本题记录 | 用 户(点击查看用户) | 运行号(点击购买题解) | 时 间 |
---|---|---|---|
算法最快[$0 $ms] | 悠悠兔 | 653448 | 2020-11-12 20:30:09 |
内存最少[$0 $KB] | 我怎么这么帅 | 572630 | 2020-03-18 22:41:58 |
第一AC | 范晋豪@信息与计算科学142 | 153194 | 2017-11-16 15:12:38 |
第一挑战 | 范晋豪@信息与计算科学142 | 153194 | 2017-11-16 15:12:38 |
竞赛编号 | 竞赛名称 | 竞赛时间 | 访问比赛 |
---|