输入一个非负实数a,用迭代法求平方根

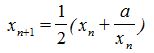
求平方根的迭代公式为

要求前后两次求出的x的差的绝对值小于10-5
从键盘输入非负实数a和迭代初值x0,输出满足条件的xn+1
C数学库中有求绝对值的函数fabs.
Time Limit | $1$ 秒/Second(s) | Memory Limit | $512$ 兆字节/Megabyte(s) |
提交总数 | $149$ | 正确数量 | $109$ | "
裁判形式 | 标准裁判/Standard Judge | 我的状态 | 尚未尝试 |
难度 | 分类标签 | 递推 |
输入一个非负实数a,用迭代法求平方根
求平方根的迭代公式为
要求前后两次求出的x的差的绝对值小于10-5
从键盘输入非负实数a和迭代初值x0,输出满足条件的xn+1
C数学库中有求绝对值的函数fabs.
非负实数a和迭代初值x0(要求double类型)
10 3
3.162278
本题记录 | 用 户(点击查看用户) | 运行号(点击购买题解) | 时 间 |
---|---|---|---|
算法最快[$0 $ms] | Qiqy | 574753 | 2020-03-26 23:53:13 |
内存最少[$0 $KB] | 千年孤独 | 574617 | 2020-03-26 13:11:47 |
第一AC | 范晋豪@信息与计算科学142 | 153211 | 2017-11-16 15:12:38 |
第一挑战 | 范晋豪@信息与计算科学142 | 153211 | 2017-11-16 15:12:38 |
竞赛编号 | 竞赛名称 | 竞赛时间 | 访问比赛 |
---|