计算
| Time Limit | $1$ 秒/Second(s) | Memory Limit | $512$ 兆字节/Megabyte(s) |
| 提交总数 | $405$ | 正确数量 | $211$ | "
| 裁判形式 | 标准裁判/Standard Judge | 我的状态 | 尚未尝试 |
| 难度 | 分类标签 |
计算
无
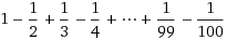
输出题目描述中表达式的值,使用C语言默认舍入方式保留8位小数。请注意行尾输出换行。
无
0.68817218
| 本题记录 | 用 户(点击查看用户) | 运行号(点击购买题解) | 时 间 |
|---|---|---|---|
| 算法最快[$0 $ms] | 攥着小糖. | 683195 | 2020-12-14 23:42:37 |
| 内存最少[$0 $KB] | Qiqy | 573334 | 2020-03-22 16:40:50 |
| 第一AC | 范晋豪@信息与计算科学142 | 153336 | 2017-11-16 15:16:38 |
| 第一挑战 | 范晋豪@信息与计算科学142 | 153336 | 2017-11-16 15:16:38 |
| 竞赛编号 | 竞赛名称 | 竞赛时间 | 访问比赛 |
|---|---|---|---|
| 1160 | 北大青鸟Java实训【预科班】Java程序设计练习赛 | 2018-04-15 15:20:00 | 请登录 |
| 1154 | AOJ 程序设计强化班练习赛: (分支和循环) | 2018-04-01 08:41:00 | 请登录 |