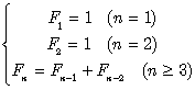
求Fibonacci数列的前40个数。这个数列有如下特点:第1、2两个数为1、1。从第3个数开始,该数是其前面两个数之和。即:
| Time Limit | $1$ 秒/Second(s) | Memory Limit | $512$ 兆字节/Megabyte(s) |
| 提交总数 | $98$ | 正确数量 | $57$ | "
| 裁判形式 | 标准裁判/Standard Judge | 我的状态 | 尚未尝试 |
| 难度 | 分类标签 |
求Fibonacci数列的前40个数。这个数列有如下特点:第1、2两个数为1、1。从第3个数开始,该数是其前面两个数之和。即:
无
输出Fibonacci数列的前40个数,并在每个数之后输出一个空格。
请注意行尾输出换行。
无
1 1 2 3 5 8 13 21 34 55 89 144 233 377 610 987 1597 2584 4181 6765 10946 17711 28657 46368 75025 121393 196418 317811 514229 832040 1346269 2178309 3524578 5702887 9227465 14930352 24157817 39088169 63245986 102334155
| 本题记录 | 用 户(点击查看用户) | 运行号(点击购买题解) | 时 间 |
|---|---|---|---|
| 算法最快[$0 $ms] | 左燕峰@计算机科学与技术172 | 1060526 | 2024-01-12 15:40:58 |
| 内存最少[$0 $KB] | 葛光祝 | 661283 | 2020-11-19 11:02:08 |
| 第一AC | 范晋豪@信息与计算科学142 | 153549 | 2017-11-16 15:16:40 |
| 第一挑战 | 范晋豪@信息与计算科学142 | 153549 | 2017-11-16 15:16:40 |
| 竞赛编号 | 竞赛名称 | 竞赛时间 | 访问比赛 |
|---|---|---|---|
| 1459 | C语言程序设计【网络工程2020级第四五周实验】 | 2020-11-05 10:00:00 | 请登录 |