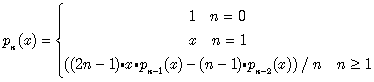
用递归方法求n阶勒让德多项式的值,递归公式如下:
| Time Limit | $1$ 秒/Second(s) | Memory Limit | $512$ 兆字节/Megabyte(s) |
| 提交总数 | $19$ | 正确数量 | $16$ | "
| 裁判形式 | 标准裁判/Standard Judge | 我的状态 | 尚未尝试 |
| 难度 | 分类标签 |
用递归方法求n阶勒让德多项式的值,递归公式如下:
在一行内有一个正整数n和一个实数x,用空格分隔。保证n不超过10。
输出pn(x)的值,小数点后保留4位小数。
请注意行尾输出换行。
5 2.5
637.0117
| 本题记录 | 用 户(点击查看用户) | 运行号(点击购买题解) | 时 间 |
|---|---|---|---|
| 算法最快[$0 $ms] | 方欣 | 610131 | 2020-08-14 09:32:03 |
| 内存最少[$944 $KB] | 范晋豪@信息与计算科学142 | 153801 | 2017-11-16 15:16:43 |
| 第一AC | 范晋豪@信息与计算科学142 | 153800 | 2017-11-16 15:16:43 |
| 第一挑战 | 范晋豪@信息与计算科学142 | 153800 | 2017-11-16 15:16:43 |
| 竞赛编号 | 竞赛名称 | 竞赛时间 | 访问比赛 |
|---|---|---|---|
| 1492 | C语言第八九周【函数】【网络工程中韩201】 | 2020-12-05 18:55:00 | 请登录 |