Fibonacci Number
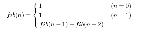
Write a program which prints n-th fibonacci number for a given integer n. The n-th fibonacci number is defined by the following recursive formula:
| Time Limit | $1$ 秒/Second(s) | Memory Limit | $512$ 兆字节/Megabyte(s) |
| 提交总数 | $32$ | 正确数量 | $20$ | "
| 裁判形式 | 标准裁判/Standard Judge | 我的状态 | 尚未尝试 |
| 难度 | 分类标签 | STL |
Fibonacci Number
Write a program which prints n-th fibonacci number for a given integer n. The n-th fibonacci number is defined by the following recursive formula:
3
3
| 本题记录 | 用 户(点击查看用户) | 运行号(点击购买题解) | 时 间 |
|---|---|---|---|
| 算法最快[$0 $ms] | 桑 蒙 | 421778 | 2019-05-09 14:01:44 |
| 内存最少[$1152 $KB] | 黑白灰色轨迹 | 622010 | 2020-10-15 18:10:13 |
| 第一AC | 刘成健 | 362143 | 2019-01-25 17:49:08 |
| 第一挑战 | 刘成健 | 362143 | 2019-01-25 17:49:08 |
| 竞赛编号 | 竞赛名称 | 竞赛时间 | 访问比赛 |
|---|---|---|---|
| 1546 | 安科ACM集训队-2020国庆七天乐(7)数学与数论专题 | 2020-10-01 13:00:00 | 请登录 |
| 1331 | 图灵2019五一高级算法集训营:数学与数论专题 | 2019-05-01 09:00:00 | 请登录 |