This summer, ZXyang became so tired when doing the problems of Multi-University contests. So he decided to attend the Unified National Graduate Entrance Examination. This day, he sees a problem of series.
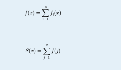
Let S(x) be a function with x as the independent variable. S(x) can be represented by the formula as follow.

fi(x) is a function with x as the independent variable. Furthermore. fi(x) belongs to the function set F.
F={C,C/x,Csinx,Ccosx,C/sinx,C/cosx,Cx,Cx}
C is a constant integer ranging from 0 to 109.
ZXyang wonders if S(x) is convergent. S(x) is convergent if and only if limx→∞S(x)=c, where c is a constant.