Problem 3849 --分数!!!3849: 分数!!!
| Time Limit |
$1$ 秒/Second(s) |
Memory Limit |
$128$ 兆字节/Megabyte(s) |
| 提交总数 |
$31$ |
正确数量 |
$14$ |
"
| 裁判形式 |
标准裁判/Standard Judge |
我的状态 |
尚未尝试 |
| 难度 |
|
分类标签 |
|
当前分类(单击移除):
单击选择分类:
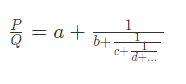
小L刚学完分数转成连分数,他现在知道一个分数可以写成如下连分数的形式:
现在给你一个分数,他希望你能将它转成连分数
首行一个正整数 T,(1≤T≤120)T,(1 \le T \le 120)T,(1≤T≤120),代表测试数据的组数
接下来 T{T}T 行每行给出两个正整数 P,Q,2≤P,Q≤231−1,Q≠0P,Q, 2 \le P,Q \le 2^{31}-1, Q \neq 0P,Q,2≤P,Q≤231−1,Q=0
保证输入的分数都可以写成有穷连分数的形式
103/24 = 4+1/{3+1/{2+1/3}}
21/73 = 0+1/{3+1/{2+1/10}}
4/2 = 2
| 本题记录 |
用 户(点击查看用户) |
运行号(点击购买题解) |
时 间 |
| 算法最快[$2 $ms]
|
Yestercafe
|
790519
|
2021-12-04 22:05:31 |
| 内存最少[$2080 $KB]
|
PlumYu
|
810227 |
2022-02-24 20:14:59 |
| 第一AC |
只能过个样例~~~ |
789456
|
2021-12-01 17:30:57 |
| 第一挑战 |
只能过个样例~~~
|
789456 |
2021-12-01 17:30:57 |
赛题来源/所属竞赛
N/A
| 竞赛编号 |
竞赛名称 |
竞赛时间 |
访问比赛 |
| 1673 |
2021年下学年第11月月赛 |
2021-12-04 19:00:00 |
请登录
|